other:electronics:inductance-meter
Table of Contents
Measuring Inductance
What is needed?
For these measurements we need:
- Function Generator.
- Oscilloscope
- Coil to be tested
- Resistor (value depends on the coil value and frequency range)
Setup
Connect the coil with a series resistor to the function generator. Adjust the frequency until the peak-to-peak voltage over the coil is the same as the peak-to-peak voltage over the resistor. In that case “V-scope” is 50% of “V-Gen”.
Formulas
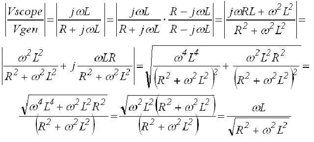
The exact ratio between the generator voltage and the voltage measured by the scope over the inductor can be calculated with the following network theory:
In this formula L represent the inductance, R the resistance, and omega the radial frequency ( = 2*pi*f with f in Hz). The question now is for what frequency (Vscope/Vgen) = 0.5:
Links
other/electronics/inductance-meter.txt · Last modified: by oscar


